Для тех, кто не уверен в своей способности грамотно парковать автомобили, кто не может быстро оценить, хватит ли свободного места на парковке для автомобиля, ученые придумали подсказку — они вывели математическую формулу ''идеальной парковки''.
Она приведена в газете Telegraph.
Исследованием занимались совместно автокомпания Vauxhall Motors и профессор Лондонского Университета Симон Блэкберн.
Вывести такую формулу было решено после того, как обзор, проведенный Vauxhall, показал, что 57% британских водителей не уверенны в своей способности запарковаться, а 32% скорее проедут дальше от нужного места или выберут более дорогую автостоянку, чтобы просто не маневрировать в ограниченном пространстве, пытаясь вместить в свободное место свою машину.
"Параллельная парковка — это то, что мы выполняем по несколько раз в день. И каждый порой испытывает затруднения. Данная формула показывает, как можно, используя математику, упростить этот процесс", - говорит профессор Блэкберн.
Для того, чтобы ею воспользоваться, водителю нужно обладать некоторыми несложными знаниями в области математики, а также знать габариты своей машины.
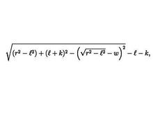
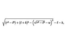
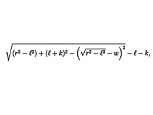
В формуле используются такие данные, как радиус окружности (r), по которой автомобиль совершает разворот, и расстояние между передними и задними колесами (l). Также понадобятся длина переда машины (k) - то есть расстояние от переднего колеса до самой передней точки капота, и ширина машины (w), которая припаркована по соседству.
На основе этих данных может быть определено минимальное дополнительное пространство к занимаемому машиной месту, которое и необходимо, чтобы параллельно запарковаться и не ударить соседние автомобили.
Правда вот громоздкое математическое выражение с квадратным корнем может озадачить водителя куда больше, чем сам процесс парковки.
